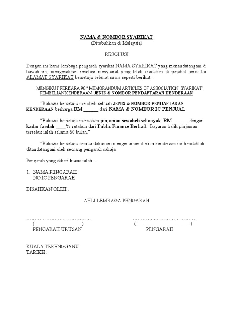
Dokumen Beli Kereta Syarikat


10 Langkah Mudah Jual Beli Kereta Dan Uruskan Pinjaman Sendiri Mekanika


Dokumen Yang Diperlukan Untuk Pinjaman Kenderaan


Beli Kenderaan Pdf


Contoh Surat Perjanjian Perkongsian Perniagaan Aku Dan Dunia Kita Life Insurance Quotes Surat Insurance Quotes


Contoh Surat Perjanjian Perkongsian Perniagaan Aku Dan Dunia Kita Quotation Sample Surat Quotations


Beli Kereta Tanpa Pinjaman Bank Miliki Kereta Baru Dan Rumah Tanpa Melalui Pinjaman Bank Khas Untuk Anda Yang Tak Boleh Buat Pinjaman Bank Konsep Belian Sewa Opsyen Beli Dengan Syarikat Agr


Anda Pemilik Bisnes Enterprise Buat Ini Kalau Nak Beli Kereta Baru

Comments

Popular posts from this blog

Contoh Ucapan Jemputan Hari Keluarga

Briefly Describe the Structure of Smooth Muscle